Informes de Evaluación Externos
Menú de navegación
- Acerca de la entidad
- Rectoría
- Información General
- Oficina Asesora Jurídica
- Oficina Asesora de Planeación Estratégica
- Soportes
- Generalidades
- Grupos de Interés Institucionales
- Políticas Institucionales
- Sección de Análisis Prospectivo y Desarrollo Organizacional
- Sección de planes y proyectos especiales
- Gestión de riesgos institucional
- Gestión del Cambio y del conocimiento
- Boletín Construyendo Futuro
- Gestión Estadística
- Sección de Planes y Proyectos Especiales Sistema General de Regalías
- Proceso de Direccionamiento Estratégico
- Formalización Laboral
- Proyectos del Marco Nacional de Cualificaciones (MNC)
- Gestión Presupuestal
- Oficina de Control Interno
- Oficina de Control Interno Disciplinario
- ESAENG - Escuela de Altos Estudios Estratégicos Nueva Granada
- Eventos ESAENG
- Estadísticas
- Convenios
- La ESAENG
- Género y Paz
- PALEM
- Diplomados ESAENG
- Seminarios ESAENG
- Centro de geopolítica seguridad y defensa
- Centro de investigación y análisis estratégico
- Centro de gobernanza liderazgo y toma de decisiones
- Cursos ESAENG
- Centro de pensamiento estratégico y prospectiva
- Docentes de la ESAENG
- Analistas ESAENG
- Boletín ESAENG
- Proyectos ESAENG
- Publicaciones ESAENG
- Mensaje del director
- Actividades
- Estructura y objetivos
- Historia de la ESAENG
- Oficina de Relaciones Internacionales
- Oficina Asesora de Tecnologías de la Información y las Comunicaciones
- Oficina de protección del patrimonio
- Comunicados Rectoría
- Ordenes Semanales
- Vicerrectoría General
- Vicerrectoría Campus Nueva Granada
- Vicerrectoria Administrativa
- Vicerrectoría Académica
- Vicerrectoría de Investigaciones
- Trámites y servicios
- Consejo Superior Universitario
- Directivos
- Información División de Financiera
- Informes Financieros
- Ejecución financiera
- Normatividad Financiera
- Información proveedores y contratistas
- Matrículas Financiera
- Certificado Electoral
- Devoluciones o Abonos
- Certificados de Institucionalidad
- Créditos Icetex
- Convenio con Municipios
- Medios de pago
- Contáctenos
- Constancias de Pago
- Matrículas y Política de gratuidad UMNG
- Unidades administrativas
- Directorio
- Comunicados
- Rendición de Cuentas
- Sistema de Gestión Ambiental
- Gestión de identidad
- Proyecto rectoral
- Proceso de Elección Rector
- Acreditación Institucional
- Documentos Institucionales UMNG
- Sistema de Gestión de Documentos Electrónicos de Archivo
- Workshop- greenmetric
- Agremiaciones Sindicales UMNG
- Comité de Representantes
- Identidad
- División de Medio Universitario, Extensión y Proyección Social Campus NUeva Granada
- Sistema Integrado de Gestión
- Comunicaciones
- Proyecto de reforma al Estatuto General, en el marco del Acuerdo 13 de 2010
- Logo Institucional UMNG
Publicador de contenidos
Informes de Evaluación Externa
- Contraloría General de la República
-
Enlace Informes https://www.contraloria.gov.co/es/resultados/proceso-auditor/auditorias-liberadas/-/document_library/wsvr/view/304618
- Informe Final Auditoria Contraloría General de la República Vigencia 2025 Ver
- Informe Final Auditoria Contraloría General de la República Vigencia 2024 Ver
- Informe Auditoria Contraloría General de la República Vigencia 2023 Ver
- Informe Auditoria Contraloría General de la República Vigencia 2022 Ver
- Informe Auditoria Contraloría General de la República Vigencia 2021 Ver
- Informe Auditoria Contraloría General de la República Vigencia 2020 Ver
- Informe Auditoria Contraloría General de la República Vigencia 2017 Ver
- Informe Auditoria Contraloría General de la República Vigencia 2013 -2014 Ver
- Informe Auditoria Contraloría General de la Republica Vigencia 2012 Ver
- Informe Auditoria Contraloría General de la Republica Vigencia 2011 Ver
- Informe Auditoria Contraloría General de la Republica Vigencia 2010 Ver
- Procuraduría
-
-
2025 Índice de trasparencia y acceso a la información- ITA - Ver
2025 Directiva 009 de 2025 Ver
- 2024 Índice de trasparencia y acceso a la información- ITA - Ver
- 2024 Directiva 004 de 2024 Ver
- 2023 Índice de trasparencia y acceso a la información- ITA - Ver
- 2022 Índice de trasparencia y acceso a la información- ITA - Ver
- Directiva 016/2022 Ver Directiva 014/2022 Ver 2020
- Índice de trasparencia y acceso a la información- ITA - Ver
- Directiva 026 Ver
- 2019 Índice de trasparencia y acceso a la información- ITA - Ver
- 2018 Índice de trasparencia y acceso a la información- ITA - Ver
-
- Agencia Nacional Jurídica del Estado (eKOGUI)
-
- Informe verificación eKOGUI 2025-I Ver
- Informe verificación eKOGUI 2024-II Ver
- Informe verificación eKOGUI 2024-I Ver
- Informe verificación eKOGUI 2023-II Ver
- Informe verificación eKOGUI 2023-I Ver
- Informe verificación eKOGUI 2022-II Ver
- Informe verificación eKOGUI 2022-I Ver
- Informe verificación eKOGUI 2021-II Ver
- Informe verificación eKOGUI 2021-I Ver
- Informe verificación eKOGUI 2020-II Ver
- Informe verificación eKOGUI 2020-I Ver
- Informe verificación eKOGUI 2019-II Ver
- Informe verificación eKOGUI 2019-I Ver
- Informe verificación eKOGUI 2018-II Ver
- Informe verificación eKOGUI 2018-I Ver
- Cámara de Representantes
-
- Función Pública
-
- Certificado FURAG 2024 Ver
- Certificado FURAG 2023 Ver
- Certificado FURAG 2022 Ver
- Certificado FURAG 2021 Ver
- Certificado FURAG 2020 Ver
- Certificado FURAG 2019 Ver
- Informe Semestral de Control Interno 2020- 2 Ver
- Informe Semestral de Control Interno 2020- 1 Ver
- Informe pormenorizado sistema de control interno junio- Octubre 2019 Ver
- Informe pormenorizado sistema de control interno febrero- junio 2019 Ver
- Informe pormenorizado sistema de control interno nov. 2018- febrero 2019 Ver
- Informe pormenorizado sistema de control interno junio. 2018- octubre 2018 Ver
- Contaduría Pública
-
- Dirección Nacional de Derechos de Autor
-
-
-
-
Documentos y multimedia
Atrás
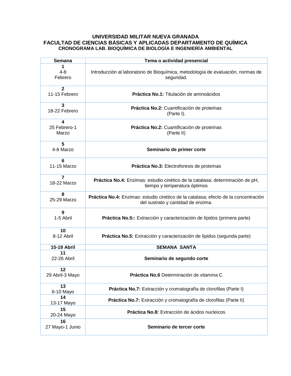
Cronograma+practica+de+laboratorio+Bioquimica+(BIO+y+AMB) 2019+I.pdf
Cronograma+practica+de+laboratorio+Bioquimica+(BIO+y+AMB) 2019+I.pdf
Versión 1.0 AprobadoDL
Propietario
- Tipo del documento
- Documento básico
- Extensión
- Tamaño
- 8KB
- Modificado
- 11/12/19 16:15 por Didier Leguizamon
- Creado
- 11/12/19 16:15 por Didier Leguizamon
- Valoraciones
- Promedio (0 Votos)
- Versión 1.0Registro sin cambiosPor Didier Leguizamon, en 11/12/19 16:15
Cronograma+practica+de+laboratorio+Bioquimica+(BIO+y+AMB) 2019+I.pdf
Promedio (0 Votos)
Comentarios